近日,材料学院2019级硕士研究生林申以第一作者在国际能源材料顶级期刊《Advanced Energy Materials》(影响因子:29.6)发表题为“Reclaiming neglected compounds as promising solid state electrolytes by predicting electrochemical stability window with dynamically determined decomposition pathway”(https://doi.org/10.1002/aenm.202201808)的原创研究论文。KY开元集团官网入口为第一通讯作者单位,KY开元集团官网入口施思齐教授和江苏师范大学林雨潇副教授为共同通讯作者。
全固态电池因其安全性好、能量密度大及适用范围广等优点,被认为是具有前景的新一代储能器件。固态电解质是固态电池的核心组件,理想的固态电解质(solid state electrolytes,SSEs)应具备较宽的电化学稳定窗口(electrochemical stability window,ESW)。目前ESW预测方法主要分为直接分解分析方法(direct decomposition analysis method,DDAM)和间接分解分析方法(indirect decomposition analysis method,IDAM),仅分别适用于热力学和动力学有利的电化学分解分析,这将导致某些材料的ESW预测值偏离实验测定结果。分析方法精度的不足会使SSE的预测和筛选效果不佳,因此十分有必要对ESW分析方法进行融合和改进。
该论文提出了一种融合DDAM和IDAM的高精度ESW分析方法,并基于此方法对该课题组先前所发掘的Li快离子导体的ESW进行高通量计算,结果与现有实验数据一致。其中有6种以前未被报道过的材料展现了宽ESW、较高抗氧化电势及优异的相稳定性和界面稳定性,是具有一定应用潜力的固态电解质。计算筛选过程如图1所示。

图1.高通量筛选SSEs流程示意图。
要点一:融合DDAM和IDAM的高精度ESW分析方法
ESW是以SSE的氧化电势为上限,还原电势为下限的电势区间,该区间指示了SSE正常工作的电势范围。传统的ESW分析方法分为DDAM和IDAM,其中DDAM以特定电势下的巨势高低判断SSE的分解电势及分解产物。而IDAM认为SSE在维持原结构的情况下进行移动金属原子的嵌入/脱出是动力学上最有利的还原/氧化反应。DDAM和IDAM仅分别适用于热力学和动力学有利的电化学分解分析,为提高分析预测精度,文章将二者融合,通过SSE分解产物的电子电导率动态判断热力学或动力学有利的分解路线,算法流程如图2所示。

图2.融合方法算法示意图。
要点二:融合方法下的高通量ESW计算分析

图3.SSEs的ESW和离子输运性示意图。
浅蓝色点表示融合方法的预测ESW宽度与DDAM的相同,反之为深蓝色点。相应二维投影点显示为左侧的粉红色三角形、右侧的橙色五角星和底部的紫色圆圈。两个横轴上的RT和Eb分别为SSEs自由传输的最大离子的半径和BVSE能垒。纵轴为融合方法预测的ESW宽度。6种性能优异的筛选化合物表示为A-F,其RT、Eb和ESW宽度标记在右侧。

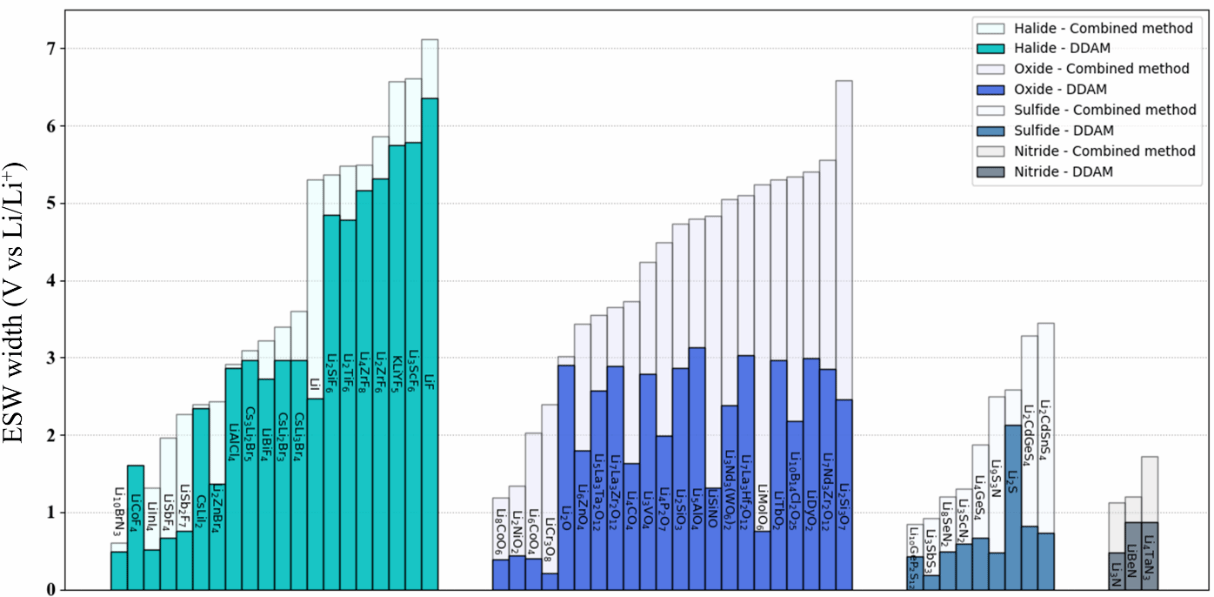
图4.4种化合物在融合方法和DDAM下的预测ESW宽度比较。54种化合物分为卤化物、氧化物、硫化物和氮化物。
为了筛选兼顾优良离子电导率和宽ESW的潜在优异SSE,作者通过融合方法对该课题组先前发掘的328种Li快离子导体(Eb小于0.7 eV,RT大于0.05 nm)进行电化学稳定分析,纠正了54种被DDAM低估的材料的ESW预测值,结果如图3、图4所示。

图5. Li10GeP2S12(LGPS)与Li7La3Zr2O12(LLZO)在DDAM、IDAM和融合方法下的预测ESW与实验测量结果对比图。
对于可获得实验ESW测量值的电解质Li10GeP2S12和Li7La3Zr2O12,基于融合方法的ESW预测值与实验结果吻合,不同分析方法下的计算结果与实验结果对比如图5所示。
要点三:多种稳定性分析筛选SSEs

图6.(a)四种SSE(氟化物、氧化物、硫化物和氮化物)的分解能氧化电位图。(b)6种宽ESW材料(Li2TiF6、Li4ZrF8、KLiYF5、Li2SiF6、Li2ZrF6、Li3ScF6)在0-7 V内的分解能曲线。(c)筛选材料与各种正极材料之间的反应能。六种具有一定应用潜力的氟化物以粗体显示。
文章将筛选的重点放在ESW被低估的材料上,进一步对其进行了分解能、相稳定分析和电极-电解质稳定性分析。部分电解质具有较低的分解能,如图6a、6b所示,其中有6种预测性能优异的氟化物从前未被作为SSE重点报道和研究。它们呈现出4 V以上的宽ESW、较高的抗氧化电势(大于6 V)、优异的相稳定性(凸包能小于1 meV/atom)和界面稳定性(与七种常见电极的界面反应能低于150 meV/atom,如图6c所示)。
该工作不仅有助于加速高性能固态电解质的研发速度,还为高通量计算研究提供了一定的指导。研究工作得到了国家自然科学基金以及国家重点研发计划项目的资助。